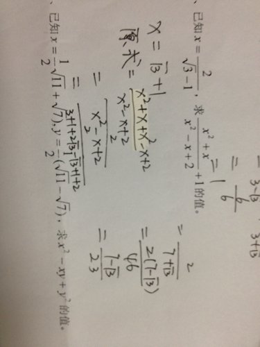
这道题对吗?答案好奇怪 点击展开 匿名用户 2014-08-12 14:50 推荐回答 原式的第二步做错了,分子不是导唉2,分子是2x²+2 原怪近荒式的第三步做错了,分母应该是5+根号3(因为是-根号它祸3- 1,而不是-根号3+1) 这样算下去就没错了 有问题的话可以追问 匿名用户 2014-08-14 09:55 宝宝知道提示您:回答为网友贡献,仅供参考。 相关问题 这道题到底该选什么…?答案好奇怪! 那个第五题答案选D吗?感觉好奇怪 有一道好奇怪的题,有好多人都想不通