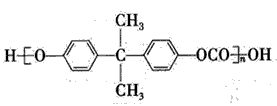
双酚A也称BPA,用来生产防碎塑料的原料 欧盟认为使用含双酚A的奶瓶会诱发孩子性早熟,从2011年3月2日起 双酚A也称BPA,用来生产防碎塑料的原料。欧盟认为使用含双酚A的奶瓶会诱发孩子性早熟,从2011年3月2日起,禁止生产含双酚A的婴儿奶瓶。 (1)双酚A的结构简式如图所示。写出双酚A的分子式:____,苯环上的一氯代物共有___种。 (2)双酚A由苯酚和丙酮 在酸性介质中反应制得。写出反应的化学方程式:____。(3)以双酚A和光气 为原料合成一种防碎塑料--聚碳酸酯,简称PC,其结构简式如下图所示。以PC 为原料制成的婴儿奶瓶在使用过程中会释放出极少量的双酚A,长期使用可能损害婴儿的健康。 ①以双酚A和光气合成PC的反应属于___反应。 ②写出由PC释放出双酚A的化学方程式:____ 。(4)下列关于双酚A和PC的叙述中,正确的是____(多选)。 A.双酚A分子中所有的碳原子都在同一平面上 B.双酚A和PC都是芳香烃的衍生物 C.一定条件下,双酚A和PC都可以与NaOH溶液反应 D.一定条件下,1 mol PC可以与6 mol H 2 发生加成反应 点击展开 隆春英_nBSX 2014-11-26 15:38 满意回答 (1)C 15 H 16 O 2 ; ;2 (2) (3) ①缩聚(或聚合);; (4)BC 匿名用户 2014-11-26 15:53 宝宝知道提示您:回答为网友贡献,仅供参考。 相关问题 由于双酚A对婴儿发育、免疫力有影响,欧盟从2011年3月1日起禁止生产双酚A塑料奶瓶 双酚A简称双酚基丙烷 欧盟已经立法不允许再生产塑料奶瓶,为什么塑胶奶瓶还卖的那么火热,难道妈妈都没有关心过BB的成长吗? 塑料奶瓶真的容易造成孩子性早熟吗?
双酚A也称BPA,用来生产防碎塑料的原料。欧盟认为使用含双酚A的奶瓶会诱发孩子性早熟,从2011年3月2日起,禁止生产含双酚A的婴儿奶瓶。 (1)双酚A的结构简式如图所示。写出双酚A的分子式:____,苯环上的一氯代物共有___种。 (2)双酚A由苯酚和丙酮 在酸性介质中反应制得。写出反应的化学方程式:____。(3)以双酚A和光气 为原料合成一种防碎塑料--聚碳酸酯,简称PC,其结构简式如下图所示。以PC 为原料制成的婴儿奶瓶在使用过程中会释放出极少量的双酚A,长期使用可能损害婴儿的健康。 ①以双酚A和光气合成PC的反应属于___反应。 ②写出由PC释放出双酚A的化学方程式:____ 。(4)下列关于双酚A和PC的叙述中,正确的是____(多选)。 A.双酚A分子中所有的碳原子都在同一平面上 B.双酚A和PC都是芳香烃的衍生物 C.一定条件下,双酚A和PC都可以与NaOH溶液反应 D.一定条件下,1 mol PC可以与6 mol H 2 发生加成反应