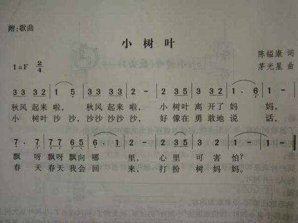
儿歌小树叶左手钢琴伴奏速求 求左手音型 点击展开 匿名用户 2015-11-22 19:32 推荐回答 这个歌曲不是糕究很快,稍微带点抒情,建议用分解和弦,索点1535这种或者1353,试试看剑生富行不行 匿名用户 2015-11-23 09:44 宝宝知道提示您:回答为网友贡献,仅供参考。 相关问题 求儿歌《迷路的小花鸭》钢琴伴奏的谱子 左手最简单的伴奏简谱给我就ok了!!! 中班的儿歌:小树叶 秋风起来了啊,秋风起来了啊小树叶离开了妈妈我会回来打扮树妈妈这首儿歌叫什么