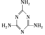
2008年9月11日,国家质检总局查出 三鹿牌婴幼儿奶粉中含有三聚氰胺其 结构简式如右图所示,它对婴幼儿泌 2008年9月11日,国家质检总局查出 三鹿牌婴幼儿奶粉中含有三聚氰胺其 结构简式如右图所示,它对婴幼儿泌 尿系统有很大危害,下列关于三聚氰胺所属物质类别的说法正确的是 [ ] A.三聚氰胺属于单质B.三聚氰胺属于铵盐C.三聚氰胺属于化合物D.三聚氰胺属于混合物 点击展开 匿名用户 2014-12-26 21:08 满意回答 C 匿名用户 2014-12-26 21:19 宝宝知道提示您:回答为网友贡献,仅供参考。 相关问题 2008年9月11日,国家卫生部证实:三鹿牌婴幼儿奶粉中含有三聚氰胺,导致全国各地出现许多婴幼儿肾结石患 人的生命与健康倍受社会的关注,请用所学知识回答问题.(1)三聚氰胺是三鹿婴幼儿奶粉受污染的罪魁祸首 人的生命与健康倍受社会的关注,请用所学知识回答问题.(1)三聚氰胺是三鹿婴幼儿奶粉受污染的罪魁祸首
2008年9月11日,国家质检总局查出 三鹿牌婴幼儿奶粉中含有三聚氰胺其 结构简式如右图所示,它对婴幼儿泌 尿系统有很大危害,下列关于三聚氰胺所属物质类别的说法正确的是 [ ] A.三聚氰胺属于单质B.三聚氰胺属于铵盐C.三聚氰胺属于化合物D.三聚氰胺属于混合物