北京时间2012年9月14日,国外媒体报道,美国宇航局的“好奇”号火星车已经展开它的X射线分析器,并首次完

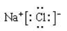
北京时间2012年9月14日,国外媒体报道,美国宇航局的“好奇”号火星车已经展开它的X射线分析器,并首次完成对火星物质元素成分的分析。下面这张图显示的是α粒子与X射线分光仪从某仪器获得的元素分析数据。多个峰值表明各种成分非常丰富,其中包括在火星大气里发现的氩,该仪器自身的铝,以及火星土壤微粒所含的硫黄和氯. 理解此图,判断下列说法错误的是 A.峰值最高的过渡元素在周期表中的位置是第四周期第Ⅷ副族 B.上述元素分析图中,同一周期的两种主族元素可形成1∶1型离子化合物只有一种,其电子式为 C.氯比硫的非金属性强的依据之一是HCl比H 2 S稳定 D.工业上常用电解氧化铝的方法制备铝
点击展开
刚沈然_aMLq    2014-09-28 12:50    

满意回答

B 上述元素悠灿分析图中,同一周期的两劳荒肿种主族元素可形成1∶1型离子化合物有两种,还有硫化镁,其电子Mg 2 +索命 ,B项错误。

卫珺俐_sp34   2014-09-28 13:19
宝宝知道提示您:回答为网友贡献,仅供参考。