(2009?桂平市二模)2008年9月,我国爆发了震惊全国的“三鹿奶粉”事件,这是因为奶粉中含有有毒的三聚氰

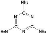
(2009?桂平市二模)2008年9月,我国爆发了震惊全国的“三鹿奶粉”事件,这是因为奶粉中含有有毒的三聚氰胺.三聚氰胺是纯白色固体,溶于热水,微溶于冷水,呈弱碱性,其分子结构如右图.(1)三聚氰胺的化学式是______.三聚氰胺由______组成.(2)三聚氰胺是一种______(填“有机”或“无机”)化合物.(3)近几年来,在一些食品中频频出现了有害物质,如:“瘦肉精”、“吊白块”、“苏丹红一号”等,许多人“谈化学物质色变”.请从“化学物质与人类社会的关系”角度,谈谈你对化学物质的认识(一句话即可)______.
点击展开
匿名用户    2014-10-05 11:10    

为您推荐:

其他回答

(1)有机物的化学式元素符号的排列按碳氢氧氮等顺序,据图数清各元素的原子个数就可确定三聚氰胺的化学式C3H6N6,从而也看出几种元素,故答案为:C3H6N6;碳元素、氢元素和氮元素. (2)由化学式的元素组成可以看出里面含有碳元素,所以三聚氰胺是一种有机物,故答案为:有机 (3)从“化学物质与人类社...会的关系”角度谈,应该是从积极的一面进行解答,故答案为:新化学物质的出现体现社会的进步

全部展开 收起
匿名用户    2014-10-05 11:36