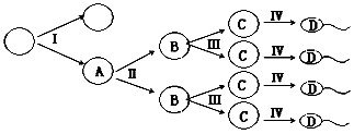
下图表示基因型为AaBb(两对等位基因分别位于两对同源染色体上)的某哺乳动物产生生殖细胞过程,错误的说法 下图表示基因型为AaBb(两对等位基因分别位于两对同源染色体上)的某哺乳动物产生生殖细胞过程,错误的说法是 [ ] A.Ⅰ过程表示细胞进行有丝分裂B.细胞中染色体数目减少一半是通过Ⅱ过程实现C.该哺乳动物为雄性个体D.一个A细胞经过减数分裂形成的C细胞有4种基因型 点击展开 匿名用户 2014-10-29 19:39 满意回答 D 匿名用户 2014-10-29 19:49 宝宝知道提示您:回答为网友贡献,仅供参考。 相关问题 如图表示基因型为AaBb(两对等位基因分别位于两对同源染色体上)的某哺乳动物产生生殖细胞过程,错误的说 下列是某哺乳动物细胞分裂的图象,有关分析正确的是( )A.含有2个染色体组的是甲、乙B.对应丁图中C 下图A→F表示某基因型为AaBb的雄性哺乳动物性腺中的细胞分裂图像 请据图回答: (1)图中属
下图表示基因型为AaBb(两对等位基因分别位于两对同源染色体上)的某哺乳动物产生生殖细胞过程,错误的说法是 [ ] A.Ⅰ过程表示细胞进行有丝分裂B.细胞中染色体数目减少一半是通过Ⅱ过程实现C.该哺乳动物为雄性个体D.一个A细胞经过减数分裂形成的C细胞有4种基因型