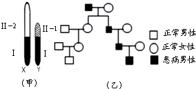
(2012?石家庄模拟)甲图为人或其他的哺乳动物的性染色体简图.X和Y染色体有一部分是同源的(甲图中Ⅰ片

(2012?石家庄模拟)甲图为人或其他的哺乳动物的性染色体简图.X和Y染色体有一部分是同源的(甲图中Ⅰ片段),该部分基因互为等位;另一部分是非同源的(甲图中的Ⅱ-1,Ⅱ-2片段),该部分基因不互为等位.下列有关叙述正确的是(  )A.人类的红绿色盲病基因位于甲图中的Ⅱ-2片段;猫叫综合症的病因是X染色体缺失一部分B.在有丝分裂形成配子过程中,X和Y染色体能通过互换发生基因重组的是图中的Ⅰ片段C.某种病的遗传系谱如乙图,则控制该病的基因很可能位于甲图中的Ⅱ-1片段;该遗传病有显、隐性之分D.基因型相同的某种雄性哺乳动物的两个体分别与多头雌性个体测交,子一代雌雄个体的性状分离比可以不同
点击展开
仰秀华_ahk9    2014-11-13 13:12    

满意回答

A、猫叫综合症的病因是人类的第5号染了宝司色体部分片段缺失,不是X染色体部分缺失,A错误;B、X和Y染色体的同源区段通过互换发生基因重组发生在减数分裂过程中,B错误;C、分析遗传系谱图可知,男性患者的后代男性个体都是患者,致病基因可能位于Y染色体的非同源区段,该遗传特点是全男遗传,没有显隐性之分,C错误;D、如果基因位于X、Y染色体的同源区评次段劳脚上,基因型相同的两个雄性个体的位置不同,因此测交后代的雌雄个体的性状分离比可能不同,D正确.故选:D.

匿名用户   2014-11-13 13:38
宝宝知道提示您:回答为网友贡献,仅供参考。