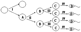
下图表示基因型为AaBb的某哺乳动物产生生殖细胞的过程,错误的说法是 [ ] A.Ⅰ过 下图表示基因型为AaBb的某哺乳动物产生生殖细胞的过程,错误的说法是 [ ] A.Ⅰ过程表示细胞进行有丝分裂 B.细胞中染色体数目减少一半是通过Ⅱ过程实现 C.一个A细胞经过减数分裂形成的C细胞有4种基因型 D. 该哺乳动物为雄性个体 点击展开 匿名用户 2014-12-20 11:59 满意回答 C 匿名用户 2014-12-20 12:16 宝宝知道提示您:回答为网友贡献,仅供参考。 相关问题 下图表示基因型为AaBb的某哺乳动物产生生殖细胞的过程,说法不正确的是 [ ] A.Ⅰ 下列关于哺乳动物的说法,错误的是 下列关于哺乳动物的说法,错误的是
下图表示基因型为AaBb的某哺乳动物产生生殖细胞的过程,错误的说法是 [ ] A.Ⅰ过程表示细胞进行有丝分裂 B.细胞中染色体数目减少一半是通过Ⅱ过程实现 C.一个A细胞经过减数分裂形成的C细胞有4种基因型 D. 该哺乳动物为雄性个体